شوکت ترین پر بغاوت کا مقدمہ درج، ایف آئی اے گرفتار کرنے امریکا جائے گی؟
ایف آئی اے کے سائبر کرائم ونگ نے سابق وفاقی وزیر خزانہ کے خلاف ارشد محمود ولد غلام سرور کی مدعیت میں پیکا ایکٹ کے تحت مقدمہ درج کیا، شوکت ترین ایک ماہ سے امریکا میں ہیں

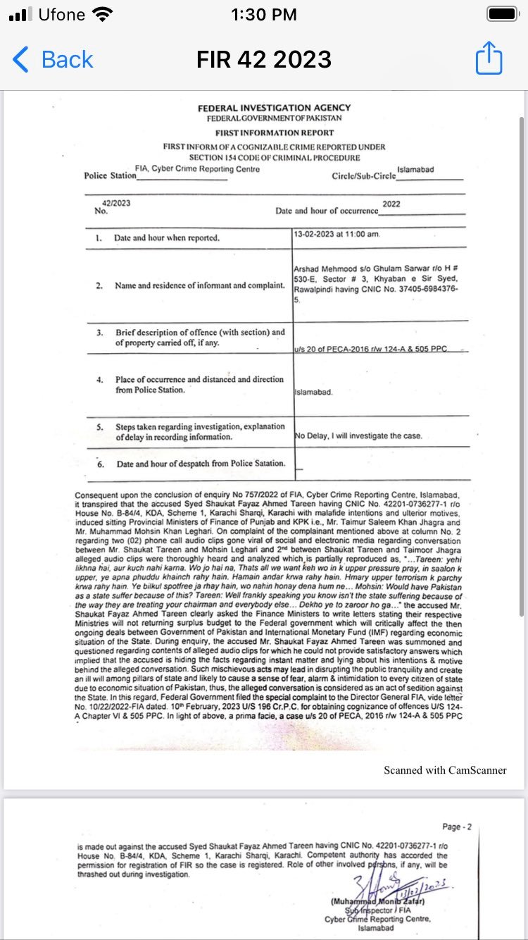
وفاقی وزیر داخلہ راناثنااللہ کی جانب سے گرفتاری کا گرین سگنل دیے جانے کے فوری بعد ایف آئی اے نے سابق وزیرخزانہ شوکت ترین کیخلاف آڈیو لیک کا مقدمہ درج کرلیا۔
وفاقی وزیرداخلہ راناثنااللہ نے گزشتہ روز کہا تھا کہ حکومت نے ایف آئی اے کو سابق وزیر کی گرفتاری کی اجازت دے دی۔
یہ بھی پڑھیے
ایف آئی اے طلبی نوٹس: سابق وزیر خزانہ ڈٹ گئے
پی ٹی آئی کی حکومت رہتی تو ستمبر میں آئی ایم ایف کی چھٹی کرادیتے،شوکت ترین
ایف آئی اے کے سائبر کرائم ونگ نے سابق وفاقی وزیر خزانہ شوکت ترین کے خلاف ارشد محمود ولد غلام سرور کی مدعیت میں پیکا ایکٹ کے تحت مقدمہ درج کرلیا ۔ سابق وزیر کے خلاف درج مقدمے میں بغاوت اور اشتعال انگیزی کی دفعات شامل کی گئی ہیں ۔

پنجاب اور خیبرپختونخوا کے سابق وزرائے خزانہ سے ٹیلیفونک گفتگو کی لیک آڈیو ٹیپس سابق وزیر خزانہ پر مقدمے کی وجہ بنی ہیں ۔ ایف آئی اے سائبرکرائم ونگ میں درج ایف آئی آر کے مطابق مبینہ آڈیو میں تیمور سلیم جھگڑا اور محسن لغاری سے شوکت ترین گفتگو کر رہے ہیں، مبینہ آڈیو میں بدنیتی پر مبنی گفتگو کی گئی، مبینہ آڈیو میں سابق وزیر خزانہ نے محسن لغاری کو کہا کہ وفاقی حکومت کو سرپلس بجٹ واپس نہ کیا جائے۔
قبل ازیں گزشتہ روز کراچی میں میڈیا سے گفتگو میں وفاقی وزیر داخلہ رانا ثنا اللہ نے کہا تھا کہ حکومت نےایف آئی اے کو سابق وزیر خزانہ شوکت ترین کی گرفتاری کی اجازت دے دی ہے ۔
وفاقی وزیر داخلہ کا کہنا تھاکہ شوکت ترین کے خلاف انکوائری مکمل ہو گئی ہے اور حکومت نے انہیں گرفتار کرنے کی اجازت دے دی ہے، ایف آئی اے نے شوکت ترین کی گرفتاری کی اجازت مانگی تھی ۔
دریں اثنا مقدمے کے اندراج کے باوجود سابق وزیر خزانہ کی فوری گرفتاری ناممکن نظرآرہی ہے کیونکہ وہ پچھلے ایک ماہ سے موجود ہیں اور مقدمے کے اندراج کے بعد ان کی واپسی کا کوئی امکان نہیں ہے۔









